En un tutorial anterior hemos visto cómo podíamos generar una Red hidrológica de órdenes. En esta ocasión aprenderemos a obtener parámetros de cuenca con ArcGIS.
Parámetros de cuenca hidrológica con ArcGIS
Los parámetros generales de una cuenca hidrológica recogen sus aspectos más básicos y constituyen la información mínima que debemos conocer para formarnos una primera idea de la naturaleza y comportamiento de una cuenca. Se incluyen en esta sección: área, perímetro, desnivel altitudinal y coordenadas del centroide (X Y Z).
Parámetros de cuenca con ArcGIS: ÁREA, PERÍMETRO, DESNIVEL ALTITUDINAL Y CENTROIDES
A la hora de calcular parámetros de cuenca con ArcGIS debemos tener en cuenta que los cálculos geométricos se realizan sobre capas vectoriales pero dependiendo del tipo de entidad de la capa las posibilidades de cálculo serán diferentes. Así por ejemplo, el cálculo de áreas o perímetros se puede hacer sólo sobre entidades tipo polígono, las longitudes sobre entidades tipo línea, etc. Pero además, las posibilidades de cálculo serán diferentes en función de si la entidad es una entidad en 2D (X,Y) o en 3D (X, Y, Z).
En nuestro caso algunos de los cálculos que tenemos que realizar requieren que dispongamos de la cuenca en 3D. Para ello utilizamos una herramienta que permite agregar datos de la componente Z a una capa entidad en 2 dimensiones ArcToolbox < 3D Analyst Tools < Functional Surface < Interpolate Shape.
Como superficie de entrada (‘Input Surface‘) utilizamos el MDT de la cuenca y como entidad 2D a convertir a 3D (‘Input Feature Class’) debemos usar el shape de la cuenca. Asignamos un nombre a la capa de salida (‘Output Feature Class’) y dejamos el resto de parámetros como aparecen por defecto. La capa que obtenemos es exactamente igual que la capa original con la diferencia de que la original es una entidad 2D (Shape Polygon) y la nueva es una entidad en 3D (Shape Polygon ZM).
Procedemos a calcular los datos que nos interesan. Para ello debemos agregar varios campos a la tabla de atributos de la capa, uno por cada parámetro que vayamos a calcular. Abrimos la tabla y agregamos un primer campo desplegando las opciones de la tabla y seleccionando la opción de añadir un nuevo campo ‘Add field‘.
Tenemos que asignar un nombre al campo (Name) y seleccionar el tipo de dato que va a contener (Type) que en este caso será «Double» y dejamos las propiedades del campo (Field Properties) que aparecen por defecto. Realizando la misma operación crearemos el resto de campos: «Perímetro», «Cota_max», «Cota_min», «Centroide_X», «Centroide_Y» y «Centroide_Z».
Una vez que los hemos creado vamos a calcular los parámetros; comenzamos con el Área; pulsamos con el botón derecho sobre el campo, seleccionamos la opción de cálculo de geometría (Calculate Geometry) y aceptamos el cuadro de diálogo que aparece.
Mediante el primer desplegable (Property) seleccionamos la propiedad geométrica que queremos calcular que en este caso es el área y con el desplegable ‘Unit’ elegimos las unidades de medida, que en este caso serán km².
Tras pulsar en OK el programa realiza el cálculo correspondiente; hemos obtenido que nuestra cuenca tiene un área de 589 km².
Siguiendo el mismo procedimiento calcularemos el resto de parámetros teniendo cuidado de asignar la propiedad adecuada y las unidades de medida adecuadas. Así hemos obtenido los siguientes datos:
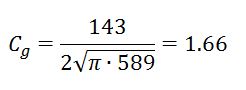
- Área: 589 km²
- Perímetro: 143 km
- Desnivel altitudinal: 3147 m
- Centroide: X = 472584 / Y = 4090724 / Z = 1993
Parámetros de cuenca con ArcGIS: PARÁMETROS DE FORMA
Otro de los parámetros de cuenca con ArcGIS que podemos calcular es la forma de la cuenca hidrológica. La forma es una característica importante pues se relaciona con el Tiempo de Concentración (Tc), el cual es el tiempo necesario desde el inicio de la precipitación, para que toda la cuenca contribuya al cauce principal en estudio, es decir, el tiempo que tarda el agua precipitada en los límites más extremos de la cuenca en llegar al punto de salida de la misma.
Índice de Compacidad (Gravelius)
El índice de Compacidad Gravelius (Cg) se utiliza para estimar la relación entre el ancho promedio del área de captación y la longitud de la cuenca (longitud que abarca desde la salida hasta el punto topográficamente más alejado de ésta) ya que relaciona el perímetro de la cuenca con el perímetro de una cuenca teórica circular de igual área. Su fórmula es la siguiente:
Así, con los datos obtenidos anteriormente, podemos calcular el índice de compacidad (Gravelius) de nuestra cuenca:
Este coeficiente siempre será mayor a la unidad y, cuanto más se acerque a este valor, la forma de la cuenca tenderá a parecerse a la de un círculo.
Si asociamos el índice de compacidad de una cuenca con el tiempo de concentración, tendremos que en cuencas con mayor coeficiente, el tiempo de concentración será mayor por lo que es de esperar que la magnitud de la escorrentía generada por una precipitación en ella sea menor que en aquélla que presente un menor coeficiente de compacidad.
Ya te hemos enseñado a calcular algunos parámetros de cuenca con ArcGIS pero si quieres aprender más sobre hidrología, te dejamos un enlace muy interesante de la Universidad de Salamanca.
< ¿TU SECTOR PROFESIONAL ES LA HIDROLOGÍA?
Échale un vistazo a nuestro Curso ArcGIS APLICADO A LA GESTIÓN HIDROLÓGICA

